小鸭看看

研究进展

    研究进展

    当前您的位置: 小鸭看看 > 研究进展 > 正文

    2023年学术进展系列之28:我学院天文探测技术团队在研制新型穿越辐射探测器方面取得进展

    日期: 2023-07-07 浏览次数:

    小鸭看看 天文探测技术团队在中国空间站高能宇宙辐射探测设施(HERD)科学载荷技术研制中,承担穿越辐射探测器(TRD)的研制,所研制的TRD原型样机在德国电子同步回旋加速器提供的电子束流进行测试,测试结果与理论预期一致,该工作的论文Journal of Instrumentation期刊接收发表

    HERD是未来中国空间站上的天体物理载荷,主要通过测量宇宙线来搜寻暗物质信号、研究邻近天体源对宇宙线的贡献等。能量作为宇宙线测量的一个基本物理量,其测量精度直接影响着测量的可靠性。目前,由于加速器技术的限制,对于探测器的能量刻度最高只能到几百GeV,而更高能区的刻度则是通过蒙卡外推,这存在着很大的不确定性。TRD利用穿越辐射与粒子种类无关的特性,可以实现在轨TeV能区的能量交叉标定,扩展地面刻度的能量上限,提高TeV及以上能区的能量测量精度。该工作主要是对TRD原型样机进行穿越辐射响应测试,通过地面束流测试来研究TRD的性能,为TRD在轨能量标定及TRD载荷的研制提供指导。

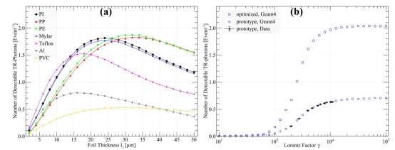
    该论文主要测试了动量从1.05.6 GeV/c电子的穿越辐射信号,从1.0 GeV/c开始直至约3.0 GeV/c,穿越辐射信号强度随电子动量呈线性增长,该电子能区对应的洛伦兹因子即是TRD在轨的能量标定能区。3.0 GeV/c以上,TR信号强度趋于饱和,该测试结果与理论预期一致。该测试结果对TRD进行TeV能区的能量标定奠定了基础,对TRD标定能区的选择、蒙特卡洛模型的构建、在轨标定的系统误差分析以及标定精度研究提供了参考。

     

    a不同材料辐射的可探测TR光子数量与箔厚度的关系

    bTRD的响应曲线。

     

    论文题目:Monte Carlo simulation of HERD side-on transition radiation detector prototype

    论文作者:代聪(硕士生),刘宏邦(通信作者),徐明(中国科学院高能物理研究所),封焕波(博士生),谢斐(教授),刘熙文(博士生),黄永波(助理教授),陆翔,董永伟(中国科学院高能物理研究所),梁恩维(教授)

    论文连接://iopscience.iop.org/article/10.1088/1748-0221/18/03/P03045/meta


    联系地址:广西区南宁市大学东路100号

    联系电话:0771-3237386

    邮 编 :530004

    关注我们

    版权所有:小鸭看看-小鸭看看新剧免费看