近日,小鸭看看
天体物理林达斌团队在考虑吸积盘的情况下通过中子星并合限制中子星的状态方程的研究论文被《The Astrophysical Journal》杂志接收发表。
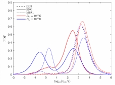
中子星(NS)-NS 双星系统的并合可以形成不同的致密残余物,其中超大质量中子星(SMNS)能够产生一个内平台,随后的急剧衰减标志着SMNS的坍缩。SMNS的比例和相应的坍缩时间通常用来限制中子星的状态方程(EoS)。我们的工作考虑了之前研究中未考虑的吸积盘对致密残余物的影响,重新审视了这一主题。与以往的工作相比,由NS-NS 合并形成的SMNS的坍缩时间分布(峰值约100秒)几乎不受NS 初始表面磁场(Bs,i)的影响(见图1左),但SMNS的磁偶极辐射的总能量输出显著依赖于Bs,i(见图1右)。结合SMNS 比例的限制,我们排除了一些EoS,并得到 了三个候选EoS,即 DD2、ENG和MPA1。通过比较观测到的短伽马射线暴中内平台的光度分布和基于这三个候选 EoS 得到的坍缩时间分布,结果显示只有ENG EoS符合观测(见图2)。我们基于ENG EoS和银河系双中子星系统的质量分布的样本表明,大约99%的NS-NS 合并会在107秒内坍缩形成黑洞;同时表明GW170817和GW190425 的残余物,以及GW190814的次重量的致密星更有可能是黑洞。

图1:不同磁场与状态方程下NS-NS并合后产生的SMNS的坍缩时间(左)与能量输出分布(右)的概率密度分布
图2:不同状态方程下,模型样本的坍缩时间和坍缩时刻光度vs观测,左图、中图、右图分别对应EoS DD2、ENG、MPA1
[注]该工作得到了国家自然科学基金(基金号:12273005、12133003)、广西自然科学基金(基金号:2018GXNSFFA281010)和CSST对重要突发天体事件的响应研究(CMS-CSST-2021-B11)的支持。
论文标题:Revisiting the Constraint on Equation of State of Neutron Star based on the Binary Neutron Star Mergers
论文作者:李云鹏(博)、陈志琳(博)、林达斌(通讯作者)、梁恩维
论文arXiv地址://arxiv.org/abs/2404.19340